Le silence a régné dans la cour du château en 2020 en raison des contraintes sanitaires.
Espérons que la fête de Mézerville aura lieu en 2021 et que l’Association NAMUKA pourra
nous proposer un spectacle !

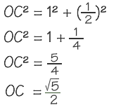
• Soit un carré ABCD
• O milieu de AD
• Un arc de cercle de centre O et de rayon OC coupe le prolongement de AD en F
• Le segment AF représente le nombre d'or
Dans le triangle rectangle OCD :
Si on définit : AD = AB = BC = 1
donc :

donc :
![]()

Le rectangle ABEF est dit "rectangle d'or" puisque ses côtés sont dans le rapport du nombre d'or

Le pentagone régulier est un polygone régulier à 5 côtés inscrit dans un cercle et dont tous les côtés et tous les angles ont les mêmes mesures.
L'angle entre deux côtés consécutifs vaut 108°
Soit le triangle ADC et les triangles ADF et AFC
Soit DC = AD sin 18° + AC sin 18°
Soit DC = AD x 2sin 18°
DC = AD x 0,618
![]()
Le rapport entre une diagonale et un côté du pentagone est égal au nombre d'or
Les triangles AED et ADC sont des "triangles d'or" puisque leurs côtés sont dans le rapport du nombre d'or
![]()
Les côtés des carrés sont une suite de Fibonacci
1, 1, 2, 3, 5, 8, 13 ...
La figure peut être construite à partir des rectangles d'or