Le silence a régné dans la cour du château en 2020 en raison des contraintes sanitaires.
Espérons que la fête de Mézerville aura lieu en 2021 et que l’Association NAMUKA pourra
nous proposer un spectacle !
Le nombre d'Or

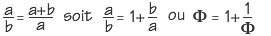
Soit le segment AB partagé par le point C,
on parle de "divine proportion" lorsque

Si AC = a et CB = b, on définit le nombre d'or comme rapport a/b qu'on appelle phi

La divine proportion peut s'écrire :

Si on multiplie tous les termes par phi on obtient l'équation
Cette équation admet comme solution positive
qui est le nombre égal au nombre d'Or :
1,61803398 ...
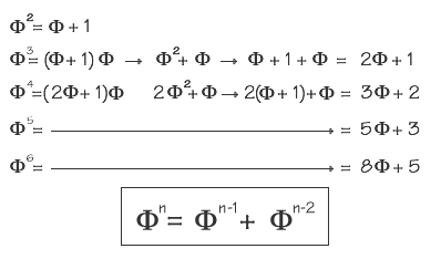
De l'équation précédente on relève deux propriétés intéressantes du nombre d'or :
-> Le seul nombre qui lorsqu'on lui ajoute l'unité devient son carré, et, lorsqu'on lui soustrait l'unité devient son inverse
Autres propriétés remarquables :
Les nombres ainsi obtenus définissent une "suite" dite : "suite de Fibonacci " :
1, 1, 2, 3, 5, 8, 13, 21, .....
Nombre d'Or et unités de mesure
Au moyen âge, les bâtisseurs de cathédrales utilisent 5 unités de mesure relatives au corps humain :
- la paume = 34 lignes = 7,64 cm
- la palme = 55 lignes = 12,36 cm
- l'empan = 89 lignes = 20 cm
- le pied = 144 lignes = 32,36 cm
- la coudée = 233 lignes = 52,36 cm
Avec une unité de base : la ligne = 2,247 mm
Il en résulte 2 constatations surprenantes :
on passe d'une mesure à l'autre en la multipliant par le nombre d'or
- la palme = la paume x 1,618 (7,64 x 1,618) = 12,36 cm
- le pied = l'empan x 1,618 (20 x 1,618) = 32,36 cm
- la coudée = le pied x 1,618 (32,36 x 1,618) = 52,36 cm
Une unité de mesure est égale à la somme des deux précédentes
- empan = palme + paume (12,36 + 7,64) = 20 cm
- pied = empan + paume (20 + 12,36) = 32,36 cm
- coudée = empan + pied (20 + 32,36) = 52,36 cm
Page suivante : Nombre d'Or et géométrie